CENNO SUI NUMERI PRIMI[1]
I numeri primi, nonostante la loro apparente semplicità, rappresentano uno dei più difficili e nello stesso tempo affascinanti argomenti dell’intera matematica pura. Una volta fissata la loro definizione (numeri divisibili solo per l’unità e per loro stessi) e stabilito che i numeri interi o sono primi oppure sono dati dal prodotto di numeri primi (cosicché questi primi vengono definiti i “mattoni” su cui sono costituiti tutti i numeri) è possibile stabilire alcune tappe fondamentali del loro studio che per ora ci limitiamo solo ad elencare trascurando, per nostra incompetenza, il legame con la musica che taluni considerano assai stretto (per questo si veda ad es, [1] pp. 171-179).
Prima di iniziare ricordiamo una circostanza relativa ai numeri primi rimasta tuttora inspiegabile: nel 1960 ad opera dell’esploratore e geologo Jean de Heinzelin è stato trovato ad Ishango, nei pressi del lago Edoardo, tra l'Uganda e il Congo,. un osso di babbuino (datato tra il 18 000 e il 20 000 a. C.) sul quale si trovano incise tre serie di numeri una delle quali costituita dai numeri primi 11; 13; 17; 19. ([1a], p, 40).

Sono state avanzate molte ipotesi per spiegare le tre successioni e quella in particolare dei numeri primi ma non riteniamo significativo riportarle. Rimane comunque il mistero della presenza della serie dei numeri primi in un’epoca così antica.
Lasciando irrisolta la presenza dei quattro “mattoni” scritti come si è visto di seguito, possiamo sintetizzare questo lavoro sui numeri primi in sei punti senza presumere di aver indicato tutte le proprietà raggiunte sull’argomento anche se esse appaiono le principali.
- I numeri primi sono infiniti;
- È possibile determinare intervalli numerici grandi a piacere privi di numeri primi;
- Sono state fatte varie ipotesi sulla distribuzione dei numeri primi e su alcune loro proprietà ma senza ottenere una formula generale che permettesse di calcolare la loro successione completa;
- L’ipotesi di Gauss dà una certa indicazione sulla distribuzione dei numeri primi;
- Sulla scorta della indicazione di Gauss e sullo sviluppo della serie armonica, sviluppata da Eulero e poi da Riemann si giunge ad una congettura notevole verificata per milioni di casi ma mai dimostrata;
- Il mistero dei numeri primi è incredibilmente legato al mistero del nostro cervello. La circostanza è assolutamente sconvolgente
Prima di sviluppare i sei punti elencati sopra, osserviamo una caratteristica di questi numeri che talvolta sono separati da un solo numero (pari). In tal caso tale coppia viene indicata con coppia di numeri “primi gemelli” (nell’ultima riga del nostro elenco posto al termine dell’articolo vi sono tre coppie di numeri primi gemelli). Non si è (ancora) stabilito come individuare teoricamente tali coppie e se esse sono infinite. Da parte mia osservo che il numero pari che separa la coppia è multiplo di sei. Questa proprietà è in parte simile a quella attribuita a Leibniz secondo cui, dato un qualsiasi numero primo, è multiplo di sei o il numero che lo precede o quello che lo segue.
1 - I numeri primi sono infiniti.
La dimostrazione di questa essenziale proprietà che è alla base di tutte le ricerche successive su tali numeri, risale ad Euclide (Elementi IX,20) e viene considerata una delle più belle dimostrazioni dell’intera matematica sia per la proprietà in sé e sia per la semplicità della dimostrazione: se i numeri primi fossero in numero finito, si può dimostrare che ve n’è almeno un altro non appartenente ad essi.
Se i numeri primi fossero, ad esempio, soltanto i numeri a; b; c; d allora il numero abcd+1 non divisibile per alcuno di essi essendovi sempre il resto !, o è lui stesso un numero primo oppure è divisibile per un numero primo diverso da quelli supposti. In ogni caso dunque vi è un numero primo diverso da quelli supposti unici.
Notiamo che Eulero per altra strada ugualmente geniale dimostrerà l’infinità dei numeri primi. Tale dimostrazione verrà indicata nel paragrafo 36 di questa presentazione.
Vedremo inoltre nel teorema di Dirichlet un'altra connessione con l’infinità dei numeri primi.
2 - È possibile determinare intervalli numerici grandi a piacere privi di numeri primi.
Si supponga, ad esempio, che si voglia stabilire un intervallo di 50 numeri privo di numeri primi (lo stessa procedura si potrebbe seguire se l’intervallo si volesse di cento o cento miliardi di numeri e così via).
Si consideri il numero “fattoriale”:
(51)! = 1·2·3·4·…·50·51
Questo numero (di 65 cifre!) è quindi multiplo di 2; di 3: di 4 …di 51 e quindi sommandogli i numeri 2; 3; 4; sino a 51 si otterrebbero numeri multipli di 2; di 3; di 4 …. di 51. In definitiva si otterrebbero 50 numeri non primi.
3 - Varie ipotesi sulla distribuzione dei numeri primi
31 - Il Crivello di ERATOSTENE (276/272)- 195/192 a. C.)
La distribuzione dei numeri primi secondo il “Crivello” di ERATOSTENE consiste nello scrivere tutti i numeri naturali sino al numero minore del quale si vogliono determinare tutti i numeri primi.
Nella tabella che segue si è evidenziato il primo numero primo (l’unità non viene per opportunità considerato numero primo) e cioè il 2, si sono via via cancellati tutti i multipli di due (4; 6; 8 …).

Il secondo numero non cancellato è così il 3 (secondo numero primo) e si cancellano pertanto tutti multipli di 3 alcuni dei quali gà cancellati perché multipli anche di 2. Il numero seguente non cancellato è il 5 e si cancellano ora tutti i multipli di 5 cosicché operando in questo modo a partire ogni volta dal numero (primo) non cancellato rimangono nella tabella costituita da 1 a 100 i soli 25 numeri primi, minori di 100, non cancellati.
Come si vede tra i numeri primi minori di cento vi sono otto coppie gemelle nelle quali il numero intermedio, come abbiamo già osservato è multiplo di sei. Così abbiamo già detto che risale a Leibniz l’osservazione secondo la quale, con p numero primo, uno dei due numeri p-1 oppure p+1 è multiplo di 6.
A proposito della distribuzione dei numeri primi ricordiamo un risultato ottenuto nel 1954 da Gaetano Roberto Badalamenti che, mediante un regolo da lui intitolato (“Regolo della divisibilità” ma anche “Scompost”), consente di determinare rapidamente se un numero è o no primo e, nel caso non lo fosse, stabilire i fattori componenti [1b].
32 - Formula di FERMAT (1601-1665)
Fermat aveva creduto che la formula da lui pensata

potesse dare sempre numeri primi al variare di n. Questo è vero ad esempio per n = 0 ottenendo infatti 3; per n=1 ottenendo 5; per n=2 ottenendo 17 e così per n = 3 e n=4. Ma Eulero mostrò che per n=5 si otteneva il numero 4.294.967 297 non primo poiché risultava uguale al prodotto 6 700 417 x 641.
33 - Congettura di Goldbach (1690-1764)
La congettura, esposta in modo più semplice da Eulero a cui Goldbach si era rivolto, afferma che un qualsiasi numero pari è uguale alla somma di almeno una coppia di numeri primi anche se uguali.
Ad esempio
12 = 5 + 7
18 = 5 + 13 (ma anche a 7 + 11);
26 = 13 + 13 (ma anche a 7 + 19)
La dimostrazione di questa congettura ha impegnato tutti i matematici esperti o non esperti in teoria dei numeri ed è stata verificata per un numero incredibile di numeri sino a 400 000 000 000 000 notizia che è riportata nel nel volume [1] L’Enigma dei Numeri Primi, p.61.
Osserviamo che poiché i numeri primi sono infiniti lo sono anche le loro coppie e quindi i numeri pari dati dalle loro somme ma infiniti non vuol dire tutti e non fornisce in questo caso nessuna indicazione utile per la dimostrazione della congettura.
Sarebbe assai lungo e ci sarebbe bisogno di molta matematica per riportare tutti i tentativi volti alla dimostrazione della congettura di Goldbach che talvolta hanno comunque prodotto risultati e proprietà di teoria dei numeri. A questo proposito riportiamo una notevole affermazione di Hilbert che prendiamo dal libro Zio Petrose e la Cogettura di Goldbach ([2] pp. 39-40). Alla domanda fatta ad Hilbert sul perché non si fosse applicato alla risoluzione della congettura di Riemann (congettura sempre relativa ai numeri primi e che vedremo nel seguito), egli rispose che risolvere una congettura importante sarebbe stato come uccidere una gallina dalle uova d’oro intendendo con questo che risolvere tale congettura (o altre evidentemente) avrebbe impedito a tanti matematici di ottenere risultati importanti anche se non conclusivi per la congettura.
Tra i tanti risultati ottenuti nel tentativo di risolvere la nostra congettura ricordiamo una proprietà di una notevole bellezza (scusate l’enfasi): Se la congettura di Goldbach si suppone vera allora si può dimostrare che un qualsiasi numero naturale maggiore di 3 è sempre equidistante tra due numeri primi::
Ad esempio 10 è equidistante tra 7 e 13: 23 è equidistante tra 17 e 29,
La dimostrazione è assai rapida poiché dato un qualsiasi numero n (>3) il suo doppio 2n è uguale, per la congettura, alla somma di due numeri primi p e q, cioè 2n = p + q da cui la formula del loro punto medio

La proprietà può essere invertita: se ogni numero n è equidistante da due numeri primi e cioè (p + q)/2 = n allora il numero pari 2n è la somma di questi e si giunge così alla congettura di Goldbach. In altre parole le due proprietà sono equivalenti.
Così, ammessa la congettura di Goldbach, si ottiene che un qualunque numero dispari maggiore di cinque è sempre uguale alla somma di tre numeri primi. Infatti, considerato un numero dispari, si tolga ad esso un numero primo e si sostituisca al resto (pari) la somma di due numeri primi secondo la congettura.
Esempio: il numero dispari dato sia 35 e gli si tolga il numero primo 3 ottenendo 35 = 3 + 32 e si sostituisca a 32 la somma di due numeri primi che esistono secondo la congettura supposta vera, ad esempio 32 = 13 + 19 (ma anche 3+29)
Si ha dunque: 35 = 3 + 13 + 19 (ma anche 35 = 3+3+29)
Si noti che invertendo la relazione e cioè supponendo che un qualunque numero dispari (>5) si possa sempre ottenere come somma di tre numeri primi portando uno di questi al primo membro si ottiene un numero pari uguale alla somma di due numeri primi.
34 - Formula di Eulero (1707-1783)
Abbiamo visto che Eulero aveva mostrato non vera la formula che Fermat considerava generatrice di numeri primi; da parte sua egli stabilisce una formula capace di generare numeri primi per n = 1, 2, 3, …40 :
n2 – n + 41
Naturalmente Eulero non poteva ignorare che per n = 41, ottenendo dalla formula 412, non si aveva più un numero primo. Personalmente, per curiosità, ho calcolato la formula per i quarantadue numeri: n = 42; 43; …83 trovando solo sette numeri non primi (n = 45; 50; 57; 66; 77; 82; 83).
Dal volume Numeri di Bruno D’Amore e Paolo Oliva ([3], p. 153) ho tratto una formula analoga n2 – 79n +1601 dalla quale si determinano numeri primi per n < 80. Lascio al lettore la verifica di questa affermazione che ho controllato solo per n = 0; 1, 2, 3.
Riguardo ad Eulero vedremo, come già detto, nel paragrafo 36 la sua dimostrazione dell’infinità dei numeri primi.
35 - Un teorema di John Wilson (1741-1793)
Il teorema di Wilson sui numeri primi, così viene indicato, sembra fosse già noto al matematico persiano Alhazen intorno all'anno mille.
Se un numero n è tale che 2x3x4x….x (n-1) + 1 è multiplo di n, cioè
2x3x4x….x (n-1) + 1 = kn allora n è primo..
Se n fosse infatti divisibile per 2, cioè n = 2n’, allora si avrebbe
2kn’ = 2x3x4x….x (n-1) + 1 ; cioè
2 [kn^'- 3x4x….x (n-1)]=1
ma essendo la parentesi quadrata un numero intero l’uguaglianza non è possibile. Analogamente se si supponesse che n fosse multiplo di 3, oppure di 4 … di n-1 e questo mostra che n è primo.
Si noto che il teorema inverso (se un numero n è primo allora 2x3x4x….x (n-1) + 1 è multiplo di n) è stato poi dimostrato da Lagrange.
36 - Un teorema di Lagrange (1736-1816)
Di Joseph-Louis Lagrange riportiamo il suo teorema sulla divisibilità di un numero primo.
Fissato un qualsiasi numero primo p maggiore di 2, la somma di tutti i numeri naturali minori di p è multiplo di p ed è multiplo di p anche la somma di tutti i prodotti a due a due di essi (prodotto di classe due) ed anche i prodotti di classe tre, quattro sino alla classe p-2. Nel caso dell’unica combinazione di classe p-1, cioè 1x2x3x…x (p-1) per avere il multiplo di p si deve aggiungere l’unità secondo il teorema di Wilson.
Esempio. Sia p=7 per cui 1+2+3+4+5+6 = 21 multiplo di 7.
Il prodotto di classe due è:
1(2+3+4+5+6) + 2(3+4+5+6) + 3(4+5+6) + 4(5+6) + 5(6) = 675 multiplo di 7.
Il prodotto di classe tre è:
1(2x3)+1(2x4)+1(2x5)+1(2x6)+1(3x4)+1(3x5)+1(3x6)+1 (4x5)+1(4x6)+1(5x6) +
2(3x4)+2(3x5)+2(3x6)+2(4x5)+2(4x6)+2(5x6)+3(4x5)+3(4x6)+3(5x6)+4(5x6)=735 multiplo di 7.
Il prodotto di classe quattro è:
1(2x3x4)+1(2x3x5)+1(2x3x6)+1(2x4x5)+1(2x4x6)+1(2x5x6)+1(3x4x5)+1(3x4x6)+1(3x5x6)++1(4x5x6)+2(3x4x5)+2(3x4x6)+2(3x5x6)+2(4x5x6)+3(4x5x6)=1624 multiplo di 7
Il prodotto di classe 5 è:
1(2x3x4x5)+1(2x3x4x6)+1(2x3x5x6)+1(2x4x5x6x)+1(3x4x5x6)+2(3x4x5x6)=1764 multiplo di 7.
Ed infine consideriamo l’unico prodotto di classe 6 che con l’aggiunta di 1 diventa multiplo di 7 secondo il teorema di Wilson riportato nel paragrafo precedente: 1x2x3x4x5x6 + 1 = 721.
37 - Peter Gustav Dirichlet (1805-1859) e Eulero (1707-1783) sull’infinità dei numeri primi
In questo paragrafo 3, nella rassegna di alcuni teoremi o alcune congettura relative all’infinità dei numeri primi, ricordiamo il teorema di Dirichlet secondo il quale la progressione an = rn + s contiene infiniti numeri primi se “r” ed “s” sono numeri tra loro primi.
Per arrivare alla dimostrazione di Eulero sulla infinità dei numeri primi si deve osservare lo studio e lo sviluppo della cosiddetta “serie armonica”:

In vari modi si può dimostrare che tale serie diverge. Teniamo però presente che i denominatori sono i numeri interi. Vi s arà ad esempio il numero 120 ma tale numero scomposto nei vari numeri primi che lo compongono si può scriver come 23 x 3 x5 e la frazione 1/120 come 1/231/3 1/5 . Pensando di operare in questo modo con tutte le frazioni della serie e raccogliendo successivamente i numeri primi uguali tra loro anche se con esponenti diversi, si ha:

Ebbene, se i numeri primi fossero finiti le parentesi sarebbero in numero limitato e il loro prodotto non potrebbe essere infinito come invece è il primo membro. I numeri primi sono quindi infiniti.
Ill secondo membro si può sintetizzare prima scrivendo il prodotto degli infiniti addendi e poi applicando la somma egli infiniti i termini di una progressione geometrica[2]

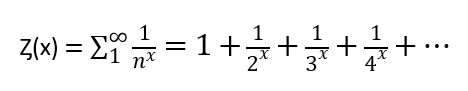
Notiamo infine che Eulero estese tale serie a quella che chiamò “funzione zeta”. e che indicò con Ȥ(x) Questa funzione verrà poi impropriamente chiamata “funzione zeta di Riemann” per l’uso notevole che di essa ne fece.

4 Carl Friedrich Gauss (1777-1855)
Nel paragrafo precedente abbiamo visto vari tentativi di esprimere infiniti numeri primi ma senza ottenere risultati significativi. Mutando tale prospettiva ed esaminando una particolare distribuzione dei nostri numeri primi, Gauss compì il primo approccio significativo in tal senso, il primo risultato su una distribuzione dei numeri primi che appariva senza alcuna legge.
Gauss osservò infatti, dato un numero qualsiasi n, ed indicando con π(n) la numerosità dei numeri primi minori di n una qualche relazione. Nella figura che segue la prima colonna è costituita dai numeri n, la seconda dei corrispondenti π (n) e la terza il risultato di n/ π (n). Come si vede moltiplicando per 10 i vari numeri n a partire da 10, il rapporto n/ π (n) cresce di circa 2.

Senza percorrere i vari tentativi di Gauss, si può comunque notare una certa regolarità che aumenterà allorché egli si servì della funzione logaritmica in grado di porre un legame tra moltiplicazioni e addizioni, ottenendo in tal modo la prima grande ipotesi sulla distribuzione dei numeri primi:

Si noti che il logaritmo è il logaritmo naturale (di base e=2,71828…) e che l’approssimazione indicata da Gauss è sempre più prossima al crescere di n. (la congettura di Gauss verrà in seguito dimostrata indipendentemente da Jacques Hadamard e da J. de la Vallèe Poussin mantenendo sempre l’approssimazione indicata da Gauss).
Osserviamo che il risultato di Gauss è stato giudicato, un po’ enfaticamente a mio parere, come ”una delle scoperte più notevoli di tutta la matematica” (cfr. Che cos’è la matematica? di R. Courant e H. Robbins, ([4] p. 71)
5 Bernhard Riemann (1887-1920)
Con Riemann il grande risultato di Gauss si sviluppa ulteriormente combinandosi con la funzione zeta di Eulero [ Ȥ(x) ].

che si chiamerà impropriamente, come abbiamo già osservato “funzione zeta di Riemann”.
Riemann sostituisce alla variabile x la variabile complessa z ([3]) e riesce a stabilire, con l’espressione in numeri primi che abbiamo visto appunto con Eulero, che la funzione è tale che i suoi zeri risultano collegati ai numeri primi minori del numero n e che in questo caso la parte reale del numero complesso è uguale ad ½ .
Un ordine verificato al solito per milioni di casi come è affermato da Enrique Graciàn nel suo libro (I Numeri Primi. Un cammino verso l’infinito, ([5], p. 106) non sufficienti per la dimostrazione per la quale non è sufficiente neppure una infinità di casi ma è necessario il “tutti”.
Questo collegamento straordinario dovrebbe comunque avere una spiegazione tale da indicare una qualche struttura ordinata dei numeri primi e portare ad una conoscenza inseguita da sempre. Oltre alla fama immortale che premierebbe l’eventuale solutore, egli guadagnerebbe anche un milione di dollari posti come premio
Notiamo che nella stessa pagina del libro citato poco sopra viene riportato un aneddoto relativo ad Hilbert cioè al grande matematico che nel Congresso Internazionale dei Matematici del 1900 aveva indicato 23 problemi che i matematici avrebbero dovuto risolvere nel secolo entrante (il problema di Riemann era l’ottavo). Riportiamo le parole del libro: «Una volta chiesero all’eminente matematico tedesco David Hilbert quale sarebbe stata la prima domanda che avrebbe posto ad un ipotetico congresso di matematici che si fosse celebrato cento anni dopo la sua morte e la sua risposta fu “Domanderei se la congettura di Riemann è stata dimostrata”»
Notiamo infine che molti teoremi sono stati dimostrati sulla base della congettura di Riemann, una base però non del tutto solida ma che, poeticamente possiamo dire, viene considerata assolutamente vera.
6 Il mistero dei numeri primi
Il mistero dei numeri primi di cui parleremo in quest’ultimo paragrafo potrebbe distruggere tutto quello che è stato detto sino ad ora. Per questo lo abbiamo messo alla fine del nostro lavoro per non rendere inutile tutto quello che è stato detto ma che comunque resta valido dal punto di vista storico e che inoltre ha consentito il conseguimento di molti risultati che altrimenti non sarebbero stati ottenuti.
La circostanza che ora raccontiamo e che viene stranamente trascurata da molti studiosi che si sono applicati e si applicano tuttora ai numeri primi, nasce quando il neurologo Oliver Sacks osserva che due suoi pazienti, i giovani gemelli autistici, John e Michael, si scambiavano a voce alcuni numeri. Cosa strana poiché i due giovani erano assolutamente ignoranti in aritmetica non sapendo neppure fare le più semplici operazioni quali l’addizione e la sottrazione.
Fortunatamente Sacks era interessato ai numeri; ricordiamo ad esempio che sulla copertina del libro [2] ma penso anche sull’edizione originaria, egli presenta il libro che tratta della congettura di Goldbach: «Una congettura matematica–scrive tra l’altro- irrisolta».
Sacks, che ricorda l’episodio (cap. XXIII di [11]) narra che, incuriosito, trascrive i numeri che i due gemelli si scambiano sorridendo, numeri di sei cifre (ivi p. 263) che risultarono essere numeri primi. Sacks si munisce di una serie di numeri primi e unendosi ai due fratelli enuncia un numero primo di otto cifre che viene riconosciuto dopo una certa esitazione dai due che accolgono il dottore nel loro gioco e i numeri primi diventano di nove e dieci cifre e persino di dodici cifre ma il neurologo non può più controllare né proseguire poiché il libro che egli consultava di nascosto, non andava su tali cifre. Con qualche intervallo di tempo maggiore di quello sino ad allora necessario per la riconoscenza di numeri primi, i due fratelli continuarono aumentando via via il numero delle cifre.
Ma come era stato possibile tutto ciò? Si potrebbe pensare, data la memoria straordinaria manifestata in altre circostanze dai due gemelli, che si fossero imparate a memoria la successione dei numeri primi? Questo sembra praticamente impossibile anche perché John e Michael, non avevano a disposizione alcun manuale, ammesso che ce ne esistesse uno così spinto. Ricordiamo inoltre che in una circostanza capitata sempre alla presenza di Sacks, caddero su il pavimento un insieme di fiammiferi e i due gemelli dissero immediatamente e contemporaneamente il numero (esatto!) degli oggetti: 111 e alla domanda di come avessero fatto risposero che l’avevano semplicemente letto!
Ma quale ordine può esserci tra i numeri primi che consentisse ai due gemelli di proseguire nel loro “gioco”, quell’ordine che invano i migliori matematici di ogni epoca hanno invano cercato di individuare? E in che modo il cervello poteva gestirlo? Sono domande assolutamente sconvolgenti.
Nel volume di Du Sautoy ([1] p.21) viene riportato lo stupore di un grande matematico, specializzato in teoria dei numeri, Enrico Bombieri (Milano 1940):
«Per me è difficile ascoltare questa storia senza sentirmi intimidito e strabiliato di fronte al funzionamento del cervello. Ma mi chiedo: i miei amici non matematici hanno la stessa reazione? Hanno la più vaga idea di quanto fosse bizzarro, prodigioso e perfino ultraterreno il singolare talento che i due gemelli possedevano in modo naturale? Sono consci del fatto che da secoli i matematici si sforzano di trovare una maniera per fare quello che John e Michael facevano spontaneamente: generare e riconoscere dei numeri primi?»
Riusciremo mai a capire quello che ancora oggi è il mistero dei numeri primi, uno degli argomenti matematici più belli e insidiosi di tutta la matematica? Euclide ha indicato la loro infinità, Gauss ne ha mostrato un certo ordine, Riemann ha sfiorato una loro proprietà ma i due gemelli, separati per dar loro una qualche possibilità individuale di inserimento nel mondo e così vanificando il tesoro che si celava in essi, hanno mostrato l’esistenza incredibile di uno dei problemi più affascinanti della matematica e del cervello umano.
BIBLIOGRAFIA
[1] Marcus De Sautoy L’Enigma dei Numeri Primi. L’ipotesi di Riemann il più grande mistero dell’Umanita’, Rizzoli, VI ed.2004, pp. 608
[1a] George Gheverghese Joseph, C’era una volta l numero. La vera storia della matematica, Saggiatore, Milano, 2003, pp. 444
[1b] Gaetano Roberto Badalamenti, A spasso fra numeri e numeri primi. Si sgretola il mistero dei numeri primi., Ed. Beta, Roma 1996, pp.32
[2] Apostolos Doxiadis, Zio Petros e la congettua di Goldbach, Bompiani, 2000, pp. 143
[3] Bruno D’Amore, Paolo Oliva, Numeri, FrancoAngeli, Milano, 1994, pp.334
[4] Richard Courant, Herbert Robbins, Che cos’è la Matematica? Einaudi, 1950, pp.752
[5] Enriques Graciàn, I numeri primi. Un lungo cammino verso l’infinito. Mondo Matematico, Milano, 2012, pp. 143
[6] Cogliati Alberto, Riemann. La geometria dello spazio curvo, Ed. Corriere della Sera, Milano 2016, pp. 152
[7] Gauss. Una rivoluzione nella teoria dei numeri
[8] Matematica, Ed. ed. Garzantini, 2013, pp. 1515
[9] Rufiàn Lizana Antonio, Gauss.Una rivoluzione nella teoria dei numeri, RBA Italia, 2012, pp. 167
[10] Scarpis Umberto, Sui numeri primi e sui problemi dell’analisi indeterminata, in Questioni riguardanti le matematiche elementari, , Parte seconda e terza, Zanichelli, 1983, pp. 1-98
[11] O=livier Sacks, L’uomo che scambiò una moglie per un cappello, Adelphi, XI ed. 2008. pp. 318
Tabella dei numeri primi fino a 10.957
|
--- |
2 |
3 |
5 |
7 |
11 |
13 |
17 |
19 |
23 |
29 |
31 |
|
37 |
41 |
43 |
47 |
53 |
59 |
61 |
67 |
71 |
73 |
79 |
83 |
|
89 |
97 |
101 |
103 |
107 |
109 |
113 |
127 |
131 |
137 |
139 |
149 |
|
151 |
157 |
163 |
167 |
173 |
179 |
181 |
191 |
193 |
197 |
199 |
211 |
|
223 |
227 |
229 |
233 |
239 |
241 |
251 |
257 |
263 |
269 |
271 |
277 |
|
281 |
283 |
293 |
307 |
311 |
313 |
317 |
331 |
337 |
347 |
349 |
353 |
|
359 |
367 |
373 |
379 |
383 |
389 |
397 |
401 |
409 |
419 |
421 |
431 |
|
433 |
439 |
443 |
449 |
457 |
461 |
463 |
467 |
479 |
487 |
491 |
499 |
|
503 |
509 |
521 |
523 |
541 |
547 |
557 |
563 |
569 |
571 |
577 |
587 |
|
593 |
599 |
601 |
607 |
613 |
617 |
619 |
631 |
641 |
643 |
647 |
653 |
|
659 |
661 |
673 |
677 |
683 |
691 |
701 |
709 |
719 |
727 |
733 |
739 |
|
743 |
751 |
757 |
761 |
769 |
773 |
787 |
797 |
809 |
811 |
821 |
823 |
|
827 |
829 |
839 |
853 |
857 |
859 |
863 |
877 |
881 |
883 |
887 |
907 |
|
911 |
919 |
929 |
937 |
941 |
947 |
953 |
967 |
971 |
977 |
983 |
991 |
|
997 |
1009 |
1013 |
1019 |
1021 |
1031 |
1033 |
1039 |
1049 |
1051 |
1061 |
1063 |
|
1069 |
1087 |
1091 |
1093 |
1097 |
1103 |
1109 |
1117 |
1123 |
1129 |
1151 |
1153 |
|
1163 |
1171 |
1181 |
1187 |
1193 |
1201 |
1213 |
1217 |
1223 |
1229 |
1231 |
1237 |
|
1249 |
1259 |
1277 |
1279 |
1283 |
1289 |
1291 |
1297 |
1301 |
1303 |
1307 |
1319 |
|
1321 |
1327 |
1361 |
1367 |
1373 |
1381 |
1399 |
1409 |
1423 |
1427 |
1429 |
1433 |
|
1439 |
1447 |
1451 |
1453 |
1459 |
1471 |
1481 |
1483 |
1487 |
1489 |
1493 |
1499 |
|
1511 |
1523 |
1531 |
1543 |
1549 |
1553 |
1559 |
1567 |
1571 |
1579 |
1583 |
1597 |
|
1601 |
1607 |
1609 |
1613 |
1619 |
1621 |
1627 |
1637 |
1657 |
1663 |
1667 |
1669 |
|
1693 |
1697 |
1699 |
1709 |
1721 |
1723 |
1733 |
1741 |
1747 |
1753 |
1759 |
1777 |
|
1783 |
1787 |
1789 |
1801 |
1811 |
1823 |
1831 |
1847 |
1861 |
1867 |
1871 |
1873 |
|
1877 |
1879 |
1889 |
1901 |
1907 |
1913 |
1931 |
1933 |
1949 |
1951 |
1973 |
1979 |
|
1987 |
1993 |
1997 |
1999 |
2003 |
2011 |
2017 |
2027 |
2029 |
2039 |
2053 |
2063 |
|
2069 |
2081 |
2083 |
2087 |
2089 |
2099 |
2111 |
2113 |
2129 |
2131 |
2137 |
2141 |
|
2143 |
2153 |
2161 |
2179 |
2203 |
2207 |
2213 |
2221 |
2237 |
2239 |
2243 |
2251 |
|
2267 |
2269 |
2273 |
2281 |
2287 |
2293 |
2297 |
2309 |
2311 |
2333 |
2339 |
2341 |
|
2347 |
2351 |
2357 |
2371 |
2377 |
2381 |
2383 |
2389 |
2393 |
2399 |
2411 |
2417 |
|
2423 |
2437 |
2441 |
2447 |
2459 |
2467 |
2473 |
2477 |
2503 |
2521 |
2531 |
2539 |
|
2543 |
2549 |
2551 |
2557 |
2579 |
2591 |
2593 |
2609 |
2617 |
2621 |
2633 |
2647 |
|
2657 |
2659 |
2663 |
2671 |
2677 |
2683 |
2687 |
2689 |
2693 |
2699 |
2707 |
2711 |
|
2713 |
2719 |
2729 |
2731 |
2741 |
2749 |
2753 |
2767 |
2777 |
2789 |
2791 |
2797 |
|
2801 |
2803 |
2819 |
2833 |
2837 |
2843 |
2851 |
2857 |
2861 |
2879 |
2887 |
2897 |
|
2903 |
2909 |
2917 |
2927 |
2939 |
2953 |
2957 |
2963 |
2969 |
2971 |
2999 |
3001 |
|
3011 |
3019 |
3023 |
3037 |
3041 |
3049 |
3061 |
3067 |
3079 |
3083 |
3089 |
3109 |
|
3119 |
3121 |
3137 |
3163 |
3167 |
3169 |
3181 |
3187 |
3191 |
3203 |
3209 |
3217 |
|
3221 |
3229 |
3251 |
3253 |
3257 |
3259 |
3271 |
3299 |
3301 |
3307 |
3313 |
3319 |
|
3323 |
3329 |
3331 |
3343 |
3347 |
3359 |
3361 |
3371 |
3373 |
3389 |
3391 |
3407 |
|
3413 |
3433 |
3449 |
3457 |
3461 |
3463 |
3467 |
3469 |
3491 |
3499 |
3511 |
3517 |
|
3527 |
3529 |
3533 |
3539 |
3541 |
3547 |
3557 |
3559 |
3571 |
3581 |
3583 |
3593 |
|
3607 |
3613 |
3617 |
3623 |
3631 |
3637 |
3643 |
3659 |
3671 |
3673 |
3677 |
3691 |
|
3697 |
3701 |
3709 |
3719 |
3727 |
3733 |
3739 |
3761 |
3767 |
3769 |
3779 |
3793 |
|
3797 |
3803 |
3821 |
3823 |
3833 |
3847 |
3851 |
3853 |
3863 |
3877 |
3881 |
3889 |
|
3907 |
3911 |
3917 |
3919 |
3923 |
3929 |
3931 |
3943 |
3947 |
3967 |
3989 |
4001 |
|
4003 |
4007 |
4013 |
4019 |
4021 |
4027 |
4049 |
4051 |
4057 |
4073 |
4079 |
4091 |
|
4093 |
4099 |
4111 |
4127 |
4129 |
4133 |
4139 |
4153 |
4157 |
4159 |
4177 |
4201 |
|
4211 |
4217 |
4219 |
4229 |
4231 |
4241 |
4243 |
4253 |
4259 |
4261 |
4271 |
4273 |
|
4283 |
4289 |
4297 |
4327 |
4337 |
4339 |
4349 |
4357 |
4363 |
4373 |
4391 |
4397 |
|
4409 |
4421 |
4423 |
4441 |
4447 |
4451 |
4457 |
4463 |
4481 |
4483 |
4493 |
4507 |
|
4513 |
4517 |
4519 |
4523 |
4547 |
4549 |
4561 |
4567 |
4583 |
4591 |
4597 |
4603 |
|
4621 |
4637 |
4639 |
4643 |
4649 |
4651 |
4657 |
4663 |
4673 |
4679 |
4691 |
4703 |
|
4721 |
4723 |
4729 |
4733 |
4751 |
4759 |
4783 |
4787 |
4789 |
4793 |
4799 |
4801 |
|
4813 |
4817 |
4831 |
4861 |
4871 |
4877 |
4889 |
4903 |
4909 |
4919 |
4931 |
4933 |
|
4937 |
4943 |
4951 |
4957 |
4967 |
4969 |
4973 |
4987 |
4993 |
4999 |
5003 |
5009 |
|
5011 |
5021 |
5023 |
5039 |
5051 |
5059 |
5077 |
5081 |
5087 |
5099 |
5101 |
5107 |
|
5113 |
5119 |
5147 |
5153 |
5167 |
5171 |
5179 |
5189 |
5197 |
5209 |
5227 |
5231 |
|
5233 |
5237 |
5261 |
5273 |
5279 |
5281 |
5297 |
5303 |
5309 |
5323 |
5333 |
5347 |
|
5351 |
5381 |
5387 |
5393 |
5399 |
5407 |
5413 |
5417 |
5419 |
5431 |
5437 |
5441 |
|
5443 |
5449 |
5471 |
5477 |
5479 |
5483 |
5501 |
5503 |
5507 |
5519 |
5521 |
5527 |
|
5531 |
5557 |
5563 |
5569 |
5573 |
5581 |
5591 |
5623 |
5639 |
5641 |
5647 |
5651 |
|
5653 |
5657 |
5659 |
5669 |
5683 |
5689 |
5693 |
5701 |
5711 |
5717 |
5737 |
5741 |
|
5743 |
5749 |
5779 |
5783 |
5791 |
5801 |
5807 |
5813 |
5821 |
5827 |
5839 |
5843 |
|
5849 |
5851 |
5857 |
5861 |
5867 |
5869 |
5879 |
5881 |
5897 |
5903 |
5923 |
5927 |
|
5939 |
5953 |
5981 |
5987 |
6007 |
6011 |
6029 |
6037 |
6043 |
6047 |
6053 |
6067 |
|
6073 |
6079 |
6089 |
6091 |
6101 |
6113 |
6121 |
6131 |
6133 |
6143 |
6151 |
6163 |
|
6173 |
6197 |
6199 |
6203 |
6211 |
6217 |
6221 |
6229 |
6247 |
6257 |
6263 |
6269 |
|
6271 |
6277 |
6287 |
6299 |
6301 |
6311 |
6317 |
6323 |
6329 |
6337 |
6343 |
6353 |
|
6359 |
6361 |
6367 |
6373 |
6379 |
6389 |
6397 |
6421 |
6427 |
6449 |
6451 |
6469 |
|
6473 |
6481 |
6491 |
6521 |
6529 |
6547 |
6551 |
6553 |
6563 |
6569 |
6571 |
6577 |
|
6581 |
6599 |
6607 |
6619 |
6637 |
6653 |
6659 |
6661 |
6673 |
6679 |
6689 |
6691 |
|
6701 |
6703 |
6709 |
6719 |
6733 |
6737 |
6761 |
6763 |
6779 |
6781 |
6791 |
6793 |
|
6803 |
6823 |
6827 |
6829 |
6833 |
6841 |
6857 |
6863 |
6869 |
6871 |
6883 |
6899 |
|
6907 |
6911 |
6917 |
6947 |
6949 |
6959 |
6961 |
6967 |
6971 |
6977 |
6983 |
6991 |
|
6997 |
7001 |
7013 |
7019 |
7027 |
7039 |
7043 |
7057 |
7069 |
7079 |
7103 |
7109 |
|
7121 |
7127 |
7129 |
7151 |
7159 |
7177 |
7187 |
7193 |
7207 |
7211 |
7213 |
7219 |
|
7229 |
7237 |
7243 |
7247 |
7253 |
7283 |
7297 |
7307 |
7309 |
7321 |
7331 |
7333 |
|
7349 |
7351 |
7369 |
7393 |
7411 |
7417 |
7433 |
7451 |
7457 |
7459 |
7477 |
7481 |
|
7487 |
7489 |
7499 |
7507 |
7517 |
7523 |
7529 |
7537 |
7541 |
7547 |
7549 |
7559 |
|
7561 |
7573 |
7577 |
7583 |
7589 |
7591 |
7603 |
7607 |
7621 |
7639 |
7643 |
7649 |
|
7669 |
7673 |
7681 |
7687 |
7691 |
7699 |
7703 |
7717 |
7723 |
7727 |
7741 |
7753 |
|
7757 |
7759 |
7789 |
7793 |
7817 |
7823 |
7829 |
7841 |
7853 |
7867 |
7873 |
7877 |
|
7879 |
7883 |
7901 |
7907 |
7919 |
7927 |
7933 |
7937 |
7949 |
7951 |
7963 |
7993 |
|
8009 |
8011 |
8017 |
8039 |
8053 |
8059 |
8069 |
8081 |
8087 |
8089 |
8093 |
8101 |
|
8111 |
8117 |
8123 |
8147 |
8161 |
8167 |
8171 |
8179 |
8191 |
8209 |
8219 |
8221 |
|
8231 |
8233 |
8237 |
8243 |
8263 |
8269 |
8273 |
8287 |
8291 |
8293 |
8297 |
8311 |
|
8317 |
8329 |
8353 |
8363 |
8369 |
8377 |
8387 |
8389 |
8419 |
8423 |
8429 |
8431 |
|
8443 |
8447 |
8461 |
8467 |
8501 |
8513 |
8521 |
8527 |
8537 |
8539 |
8543 |
8563 |
|
8573 |
8581 |
8597 |
8599 |
8609 |
8623 |
8627 |
8629 |
8641 |
8647 |
8663 |
8669 |
|
8677 |
8681 |
8689 |
8693 |
8699 |
8707 |
8713 |
8719 |
8731 |
8737 |
8741 |
8747 |
|
8753 |
8761 |
8779 |
8783 |
8803 |
8807 |
8819 |
8821 |
8831 |
8837 |
8839 |
8849 |
|
8861 |
8863 |
8867 |
8887 |
8893 |
8923 |
8929 |
8933 |
8941 |
8951 |
8963 |
8969 |
|
8971 |
8999 |
9001 |
9007 |
9011 |
9013 |
9029 |
9041 |
9043 |
9049 |
9059 |
9067 |
|
9091 |
9103 |
9109 |
9127 |
9133 |
9137 |
9151 |
9157 |
9161 |
9173 |
9181 |
9187 |
|
9199 |
9203 |
9209 |
9221 |
9227 |
9239 |
9241 |
9257 |
9277 |
9281 |
9283 |
9293 |
|
9311 |
9319 |
9323 |
9337 |
9341 |
9343 |
9349 |
9371 |
9377 |
9391 |
9397 |
9403 |
|
9413 |
9419 |
9421 |
9431 |
9433 |
9437 |
9439 |
9461 |
9463 |
9467 |
9473 |
9479 |
|
9491 |
9497 |
9511 |
9521 |
9533 |
9539 |
9547 |
9551 |
9587 |
9601 |
9613 |
9619 |
|
9623 |
9629 |
9631 |
9643 |
9649 |
9661 |
9677 |
9679 |
9689 |
9697 |
9719 |
9721 |
|
9733 |
9739 |
9743 |
9749 |
9767 |
9769 |
9781 |
9787 |
9791 |
9803 |
9811 |
9817 |
|
9829 |
9833 |
9839 |
9851 |
9857 |
9859 |
9871 |
9883 |
9887 |
9901 |
9907 |
9923 |
|
9929 |
9931 |
9941 |
9949 |
9967 |
9973 |
10007 |
10009 |
10037 |
10039 |
10061 |
10067 |
|
10069 |
10079 |
10091 |
10093 |
10099 |
10103 |
10111 |
10133 |
10139 |
10141 |
10151 |
10159 |
|
10163 |
10169 |
10177 |
10181 |
10193 |
10211 |
10223 |
10243 |
10247 |
10253 |
10259 |
10267 |
|
10271 |
10273 |
10289 |
10301 |
10303 |
10313 |
10321 |
10331 |
10333 |
10337 |
10343 |
10357 |
|
10369 |
10391 |
10399 |
10427 |
10429 |
10433 |
10453 |
10457 |
10459 |
10463 |
10477 |
10487 |
|
10499 |
10501 |
10513 |
10529 |
10531 |
10559 |
10567 |
10589 |
10597 |
10601 |
10607 |
10613 |
|
10627 |
10631 |
10639 |
10651 |
10657 |
10663 |
10667 |
10687 |
10691 |
10709 |
10711 |
10723 |
|
10729 |
10733 |
10739 |
10753 |
10771 |
10781 |
10789 |
10799 |
10831 |
10837 |
10847 |
10853 |
|
10859 |
10861 |
10867 |
10883 |
10889 |
10891 |
10903 |
10909 |
10937 |
10939 |
10949 |
10957 |
Un’applicazione dei numeri primi
Un altro problema affascinante, legato ai numeri primi, è quello relativo al “numero perfetto” cioè, secondo la definizione di Euclide (VII, def. 28): “Numero perfetto è quello che è uguale alla somma delle proprie parti” intendendo con “parti” i divisori propri del numero.
Tutti i testi che parlano dei numer4i perfetti indicano come primo esempio il numero 6 che infatti è uguale ai suoi divisori (propri): 1; 2; 3 e, di seguito il numero 28 uguale ai suoi divisori (propri) 1; 2; 4; 7: 14..
Fu Euclide a dimostrare (IX,36) la condizione sufficiente affinché un numero pari possa essere perfetto, dimostrazione che, in assenza di un simbolismo adeguato risulta di due fitte pagine nell’edizione curata da Attilio Frajese (UTET, 1970). Con il nostro simbolismo e sfruttando i “numeri di Marsenn” (2n – 1) la dimostrazione risulta semplificata.
C.S. perché il numero N pari espresso con il simbolo 2n-1 (2n – 1) sia perfetto è che il numero di Marsenne (2n – 1) sia primo.
In tal caso, infatti i divisori (propri) del numero N sono[4]
1; 2; 22; 23; 2n-1; e 1(2n – 1); 2(2n – 1); 22(2n – 1); 23(2n – 1); 2n-2(2n – 1)
e la loro somma, (progressioni geometriche):
2n – 1 + (2n – 1)(1 + 2 + 22 + 23 + 2n-2) = (2n – 1) [1 + (2n-1 – 1)] = (2n – 1) 2n-1 = N
Più complicato, matematicamente, è la dimostrazione della condizione necessaria ad opera di Eulero, secondo la quale se un numero pari è perfetto non può essere che della forma 2n-1 (2n – 1) vista[5].
Anche nel caso dei numeri perfetti vi sono delle domande alle quali ancora non vi è stata data ancora risposta: i numeri perfetti sono infiniti? Vi sono numeri perfetti dispari? Abbiamo però trattato i numeri perfetti solo per il loro legame con i numeri primi. Ricordiamo però la simpatica ma poco credibile teoria di Sant’Agostino secondo la quale Dio avrebbe voluto creare l’universo proprio in sei giorni perché numero perfetto (Agostino, La città di Dio, XI,39). E ricordiamo soltanto che con una semplice costatazione si potrebbe mostrare che i numeri perfetti (pari) devono terminare o con 6 oppure con 8.
I primi 12 numeri perfetti sono:
- 6
- 28
- 496
- 8 128
- 33 550 336 (8 cifre)
- 8 589 869 056 (10 cifre)
- 137 438 691 328 (12 cifre)
- 2 305 843 008 139 952 128 (19 cifre)
- 2 658 455 991 569 831 744 654 692 615 953 842 176 (37 cifre)
- 191 561 942 608 236 107 294 793 378 084 303 638 130 997 321 548 169 216 (54 cifre)
- 13 164 036 458 569 648 337 239 753 460 458 722 910 223 472 318 386 943 117 783 728 128 (65 cifre)
- 14 474 011 154 664 524 427 946 373 126 085 988 481 573 677 491 474 835 889 066 354 349 131 199 152 128 (77 cifre)
Il successivo numero perfetto, il tredicesimo, è composto da 314 cifre. Fino ad ora (ottobre 2024) si conoscono solo 52 numeri perfetti. Il più grande tra questi è 2136279840 × (2136279840 − 1), formato (in base 10) da 82048639 cifre[6] .
[4] Non si considera il divisore 2n-1(2n – 1) poiché è il numero N dato e noi vogliamo si considerare solo quelli propri
[5] Una esposizione più completa dell’argomento dei numeri perfetti si può trovare, anche per vari riferimenti bibliografici, in un mio articolo stampato sulla rivista “Periodico di Matematiche” del 2012 (n.1; pp. 49-64).
[6] La tabella e la conclusione finale sono state prese da Google.
[3] Si noti che , detti “a” e “b” due numeri reali, allora °a + ib”è un numero complesso co “i =
[2] [1] Si ricordi che la somma Sn di n termini di una progressione geometrica a + aq + aq2 + aq3 + + aqn-1 è Sn = a e nel caso di infini termini con |q| < 1, Sn =
[1]Si tenga presente che I numeri interi posti tra parentesi quadrate indicano i testi della biografia.


